Σ. Βασιλειάδης (ΟΡΑΜΑ): Τι....... μαγειρεύει η κα Πη;

Πολιτικη Τρίτη, 5η Απριλίου 2016
0dabcaff3a84818b52d516f6abaaf325.jpg

Τι....... μαγειρεύει η κα Πη;

10 Μαρτίου μας καλεί η κα Πη σε συνεδρίαση της ΚΕΚΠΑΠΥΑΣ με πρώτο θέμα: «Κατάρτιση Ισολογισμού και Αποτελεσμάτων 2015».

Το θέμα αναβλήθηκε.

23 Μαρτίου μας καλεί εκ νέου η κα Πη σε συνεδρίαση με πρώτο θέμα στην ημερήσια διάταξη μία από τα ίδια: «Κατάρτιση Ισολογισμού και Αποτελεσμάτων 2015» .

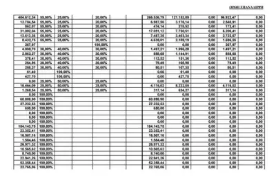
Το θέμα ψηφίστηκε κατά πλειοψηφία καθώς δεν μπορούμε να διανοηθούμε πως γίνεται να της παραδώσαμε μια επιχείρηση με 522.000 ευρώ κέρδη και μέσα σε ένα χρόνο να την παραδίδει με ζημία! (δείτε την απόφαση 61/30.06.2014. Δείτε σε τι χρεωκοπημένη κατάσταση παραλάβαμε τις επιχειρήσεις. Δείτε τι παραδώσαμε.) Που πήγαν 522.000 ευρώ;;;

Μέχρι και σήμερα η απόφαση του διοικητικού συμβουλίου για τον ισολογισμό του 2015 δεν έχει αναρτηθεί στη διαύγεια ενώ η έγκρισή της θα... ψηφιστεί στο δημοτικό συμβούλιο της Τετάρτης... Τι παίζει;;;

Καταλαβαίνουμε τη δυσκολία σας να μας παρακολουθήσετε. Την ίδια ακριβώς δυσκολία έχουμε και εμείς με τα «περίεργα» της κας Πη.

Σήμερα λοιπόν λάβαμε ακόμα μία πρόσκληση κατεπείγουσας συνεδρίασης για αύριο το πρωί και μόλις μια μέρα πριν το δημοτικό συμβούλιο με θέμα: «Τροποποίηση στοιχείων του Ισολογισμού και Αποτελεσμάτων χρήσης 2015».

Τελικά ποιό είναι το ακριβές ποσό της ζημίας; Αυτό που ψήφισε το δ/σ ή μήπως αυτό που έρχεται ως.... τροποποίηση; Γιατί δεν αναρτήθηκε η απόφαση του Ισολογισμού; Ελήφθη τελικώς απόφαση; Βάση ποιας απόφασης θα γίνει η τροποποίηση; Τα ερωτήματα τίθενται κυρίως στα μέλη του δ/σ που ψήφισαν ή και καταψήφισαν τον Ισολογισμό του 2015.

Η κα Πη είναι γνωστή για τις ύβρεις της και όχι για τις απαντήσεις της.

Άλλωστε για να ψηφίσει έναν Ισολογισμό χρειάζεται 3 συνεδριάσεις και πάντα με το αζημίωτο! (επισυνάπτουμε τις προσκλήσεις της)

Με δεδομένο ότι δεν υπάρχει η σχετική απόφαση που έλαβε το Δ/Σ στις 23/3 δεν συμμετέχουμε στην αυριανή συνεδρίαση καθώς δεν θέλουμε να νομιμοποιήσουμε την παράνομη και αυθαίρετη λειτουργία της κας Πη.

για το ΟΡΑΜΑ Κίνημα Πολιτών Κω

Σπύρος Βασιλειάδης

Μέλος Δ.Σ. ΚΕΚΠΑΠΥΑΣ

ΡΟΗ ΕΙΔΗΣΕΩΝ
ΑΓΓΕΛΙΕΣ & ADVERTORIALS
15 ΧΡΟΝΙΑ ΣΤΗΝ ΥΠΗΡΕΣΙΑ
ΤΗΣ ΕΝΗΜΕΡΩΣΗΣ
ΑΥΤΗ ΤΗ ΣΤΙΓΜΗ ΣΤΗΝ ΚΩ
15 °C
Τρίτη, 24 Φεβρουαρίου 11:38ΜΜ
ΕΦΗΜΕΡΕΥΟΝΤΑ
ΦΑΡΜΑΚΕΙΑ
Απαγορεύεται ρητά η αναπαραγωγή κειμένου ή φωτογραφιών χωρίς άδεια.
Made by Reach Web Agency